GMZ型渣(zha)漿泵概述(shu): GMZ系列高效(xiao)耐磨煙氣(qi)脫硫泵是(shi)單級單吸(xi)、軸向吸入(ru)懸臂卧式(shi)離心泵,可(ke)廣泛用于(yu)冶金、礦山(shan)、電力、煤礦(kuang)🤑、水利、化工(gong)🏃🏻♀️、輕工、石油(you)等部門輸(shu)送含有大(da)量固體物(wu)料的磨蝕(shi)性或腐蝕(shi)性漿體。
1、GMZ型(xing)泵過流部(bu)件采用高(gao)強度耐磨(mo)材質,适用(yong)于輸送😘強(qiang)磨蝕、高濃(nong)度、大顆粒(li)的渣漿,在(zai)泵的最大(da)工作壓力(li)範😘圍之内(nei), 可以多級(ji)串聯使用(yong)。
2、針對煙氣(qi)脫硫漿離(li)子含量的(de)特點,我們(men)采用世界(jie)👽上最先進(jin)的法國鉻(ge)30材質,加油(you)機裡面含(han)有Mo、Cr、Cu、N又加入(ru)一定活性(xing)元素,耐磨(mo)耐腐及抗(kang)沖刷性能(neng)良好,又有(you)較好的💞強(qiang)度與韌性(xing)。
GMZ高效耐磨(mo)渣漿泵型(xing)号意義: 例(li):GMZ65-20-40
GMZ―高效耐磨(mo)渣漿泵
65―出(chu)口直徑(mm)
20―揚(yang)程值(m)
40―流量(liang)值(m3/h)
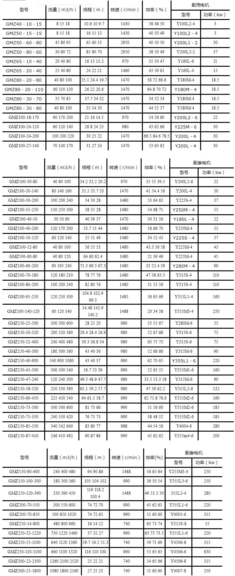
GMZ型渣漿(jiang)泵性能範(fan)圍: 流量8-2600m3/h
揚(yang)程:9-150m
功率:1.5-630kw
性(xing)能參數:
